Nghiên cứu: Tiêm Botulinum toxin A để điều trị chứng phì đại cơ cắn
TÓM TẮT
Bối cảnh: Các tác giả đã tiến hành điều tra về tác dụng lâu dài của botulinum toxin bằng cách phân tích dữ liệu từ các lần tiêm của khách hàng điều trị phì đại cơ cắn tại Bệnh viện thẩm mỹ Gyalumhan, ở Seoul, Hàn Quốc trong thời gian từ tháng 3 năm 2001 đến tháng 9 năm 2007. Đây là nghiên cứu tiếp theo thứ hai sau báo cáo nghiên cứu trước đó vào năm 2005.
Phương pháp: Tổng cộng có 121 khách hàng được điều trị trong hơn 1 năm bằng phương pháp tiêm botulinum toxin loại A được đưa vào quá trình theo dõi, phân tích. Vào mỗi lần tiêm của khách hàng, độ dày cơ cắn lại được đo bằng phương pháp siêu âm. Loại botulinum toxin được sử dụng là Dysport và liều tiêm là 100 đến 140 đơn vị (U) cho mỗi bên dựa trên độ dày cơ.
Kết quả: Trong tổng số 121 khách hàng, 6 người được tiêm 2 lần, 28 người được tiêm 3 lần, 41 khách hàng tiêm 4 lần, 23 khách hàng tiêm 5 lần, 16 khách hàng tiêm 6 lần, 6 khách hàng tiêm 7 lần và một khách hàng tiêm 8 lần. Trung bình, khối cơ cắn tổng thể đã giảm từ 13.32mm vào lúc trước khi tiêm lần đầu xuống còn 9.94mm ở lần tiêm cuối cùng. Khi số lần tiêm tăng qua 2 đến 8 lần, kích thước cơ trung bình đã giảm. Vào mỗi lần tiêm sau, liều trung bình lại giảm đi. Không có sự khác biệt đáng kể về hiệu quả giảm khối cơ theo nhóm tuổi. Ở những khách hàng có cơ cắn dày hơn thì phương pháp tiêm botulinum toxin cho hiệu quả thu gọn khối cơ cao hơn.
Kết luận: Tiêm botulinum toxin loại A có tác dụng lâu dài đối với chứng phì đại cơ cắn. Hiệu quả giảm khối cơ tỷ lệ thuận với số lần tiêm (Plast. Reconstr. Surgery 125:1693, 2010)
Phì đại cơ cắn là một vấn đề lành tính mà trong đó cơ cắn phình to hơn bình thường. Vấn đề này lần đầu tiên được phát hiện bởi Legg vào năm 1880. Kể từ đó, các phương pháp không xâm lấn (bao gồm cả dùng thuốc điều trị hệ thống) và phương pháp can thiệp phẫu thuật đã được sử dụng để điều trị vấn đề này.
Botulinum toxin loại A thường được sử dụng để điều trị các chứng rối loạn thần kinh cơ khác nhau như mắt lác, co thắt mí mắt, co thắt cơ nửa mặt và một số vấn đề rối loạn thần kinh khác gây nên tình trạng hoạt động quá mức, bất thường của cơ. Trong lĩnh vực thẩm mỹ, botulinum toxin cũng đã được sử dụng để trị các nếp nhăn động trên khuôn mặt, ví dụ như nếp gian mày (nếp nhăn giữa hai đầu lông mày), nếp nhăn trên trán, quanh đuôi mắt (vết chân chim) và nếp nhăn cổ.
Botulinum toxin loại A lần đầu tiên được giới thiệu cho mục đích điều trị vấn phì đại cơ cắn vào năm 1994. Kết quả thực tế cho thấy botulinum toxin loại A là một phương pháp điều trị hiệu quả, đặc biệt là trong việc điều trị tật nghiến răng. Tuy nhiên, vào thời điểm đó, phương pháp này có một số hạn chế, chẳng hạn như số lượng khách hàng ít, hiệu quả điều trị ngắn hạn và liều lượng không thống nhất. Nhiều nghiên cứu về ứng dụng thẩm mỹ của botulinum toxin loại A trong việc làm gọn đường viền hàm dưới đã được thực hiện và báo cáo, và cho đến nay đã có nhiều dữ liệu lâm sàng.
Chúng tôi đã điều tra về tác dụng của botulinum toxin trong việc thu gọn đường viền hàm dưới ở 383 khách hàng phì đại cơ cắn đã được điều trị từ tháng 3 năm 2001 đến tháng 9 năm 2002 bằng Dysport (Ipsen Ltd, Slough, UK). Kết quả nghiên cứu cho thấy độ dày của cắn đã giảm trung bình 31% và hiệu quả làm teo cơ diễn ra sau khoảng từ 2 đến 4 tuần kể từ lúc tiêm ở hầu hết các khách hàng. 70% trong số 383 khách hàng được theo dõi đều rất hài lòng với kết quả này và 23% còn lại là hài lòng. Không có tác dụng phụ lâu dài nào được báo cáo.
Thời gian phục hồi lại kích thước ban đầu của cơ cắn sau khi tiêm thay đổi theo từng người. Thông thường, hiệu quả biến mất trong vòng 9 tháng sau khi tiêm. Một số khách hàng cần tiêm lại để duy trì hiệu quả thu gọn cơ.
Chúng tôi đã điều trị cho khách hàng liên tục và theo dõi trong 6 năm. Chúng tôi đã tiến hành phân tích những dữ liệu có được từ các buổi tiêm lại. Thời gian theo dõi trung bình cho mỗi khách hàng là 52 tháng. Hiện nay, tác dụng thu gọn cơ cắn của botulinum toxin đã được công nhận; tuy nhiên, dữ liệu từ các nghiên cứu theo dõi dài hạn vẫn chưa được báo cáo.
Mục đích của nghiên cứu này là điều tra hiệu quả của botulinum toxin loại A khi điều trị lặp đi lặp lại bằng cách đánh giá quá trình giảm độ dày của cơ cắn. Chúng tôi cũng đã nghiên cứu các yếu tố liên quan có thể ảnh hưởng đến tác dụng giảm độ dày cơ cắn của botulinum toxin, ví dụ như độ tuổi của khách hàng, độ dày cơ cắn ban đầu, số lần tiêm botulinum toxin và các yếu tố khác.
Phân tích này được thực hiện dựa trên dữ liệu từ các lần tiêm của những khách hàng đã đến phòng khám chúng tôi để điều trị chứng phì đại cơ từ năm 2001 đến năm 2007. Hiệu quả lâu dài của botulinum toxin loại A trong việc làm gọn đường viền hàm dưới được báo cáo lần đầu tiên tại đây.
KHÁCH HÀNG VÀ PHƯƠNG PHÁP ĐIỀU TRỊ
Khách hàng
Chúng tôi đã điều tra tổng cộng 121 khách hàng tiêm botulinum toxin loại A (Dysport) với ít nhất 1 năm theo dõi từ tháng 3 năm 2001 đến tháng 9 năm 2007. Thời gian theo dõi trung bình của khách hàng là 4.28 năm. Các khách hàng bị phì đại cơ cắn hai bên và chưa từng can thiệp phẫu thuật trước đây. Tất cả khách hàng đều là nữ. Độ tuổi trung bình của khách hàng là 27.38 (khoảng từ 17 đến 51 tuổi). Tất cả các khách hàng đều được tiêm botulinum toxin loại A vào mỗi lần tiêm. Thời gian đến tiêm lại của mỗi khách hàng là khác nhau, và tần suất tiêm cũng khác nhau, vì thời gian tiêm lại không được hẹn hay lên kế hoạch trước và hầu hết các lần tiêm lại đều nhằm mục đích thẩm mỹ.
Phương pháp điều trị
Vị trí tiêm
Quy trình tiêm bao gồm ba bước. Trong bước đầu tiên, nguyên nhân chính khiến cho hàm bạnh và mặt vuông cũng như là kích thước của cơ cắn được ước tính bằng cách đánh giá lâm sàng. Độ dày của cơ cắn được đo bằng phương pháp siêu âm. Để có được sự đánh giá khách quan về độ dày của cơ, chúng tôi đã đo độ dày bên dưới cơ giữa dái tai và khóe miệng. Sau đó, chúng tôi tiến hành tiêm vào vùng an toàn được tạo ra bởi 4 đường như Hình 1.
Trước hết, chúng tôi vẽ đường nối dái tai và khóe miệng. Giữa dái tai và khóe miệng, chúng tôi đã đánh dấu 2 đường ở rìa trước và rìa sau của cơ cắn bằng cách sờ nắn, và sau đó tạo ra một vùng hình chữ nhật bằng cách nối với góc hàm dưới. Đây được coi là vùng an toàn vì không có cấu trúc giải phẫu nào quan trọng dưới đường nối khóe miệng - dái tai. Ở bước thứ ba, chúng tôi tính đến sự khuếch tán của botulinum toxin và tiêm tại 3 điểm. 50% tổng liều được tiêm vào điểm chính giữa và 25% được tiêm vào 2 điểm còn lại (Hình 2).
Pha loãng và liều tiêm
Botulinum toxin loại A (Dysport) dạng đông khô được hoàn nguyên về nồng độ hoàn thiện là 125U/cc trong nước muối vô trùng; một lọ Dysport chứa 500U được hoàn nguyên với 4ml nước muối vô trùng. Mỗi mũi tiêm 1ml (tương đương 125U) bằng kim tiêm 30 - gauge và phân bố đều. Việc pha loãng sản phẩm vượt quá mức quy định để tăng thể tích có thể khiến khách hàng bị đau nhiều tại vị trí tiêm và mặt khác, pha loãng với quá ít nước muối có thể dẫn đến sai sót về liều lượng hoặc khó tiêm. Liều tiêm phụ thuộc vào độ dày của cơ cắn và dao động từ 100 đến 140U Dysport cho mỗi bên.
Thang tính chuẩn về thể tích tiêm dựa theo độ dày của cơ cắn được thể hiện trong Bảng 1.
Bảng 1. Thể tích tiêm dựa trên độ dày cơ cắn
|
Độ dày cơ |
Đơn vị botulinumtoxin loại A (U)* cho mỗi bên |
|
10 mm |
100 |
|
11 mm |
110 |
|
12 mm |
120 |
|
13 mm |
125 |
|
14 mm |
130 |
|
15 mm |
135 |
|
16 mm |
140 |
Phương pháp phân tích
Quá trình phân tích thống kê được thực hiện bằng phần mềm SAS, phiên bản 9.12 (SAS Institute, Inc., Cary, NC). Dữ liệu của chúng tôi được phân tích bằng cách sử dụng phương pháp paired t test (hay Wilcoxon signed rank test) để xác định độ dày của cơ cắn từ lúc ban đầu và qua mỗi lần tiêm. Ngoài ra, dữ liệu còn được phân tích bằng cách sử dụng phương pháp phân tích kiểm tra phương sai để xác định sự thay đổi độ dày cơ cắn. Chúng tôi đã thực hiện phương pháp unpaired t test (hay Wilcoxon rank sum test) và paired t test (hay Wilcoxon signed rank test) để phân tích sự thay đổi độ dày cơ cắn vào mỗi lần tiêm theo nhóm tuổi và theo từng nhóm nhỏ được phân chia dựa trên độ dày ban đầu của cơ cắn.
KẾT QUẢ
Sự thay đổi vào mỗi lần tiêm lại
Khoảng thời gian giữa lần tiêm đầu tiên, mỗi lần tiêm tiếp theo và lần tiêm cuối cùng ở mỗi khách hàng, độ dày trung bình của cơ cắn bên phải và cơ cắn bên trái cũng như là độ dày cụ thể của cơ được tóm tắt trong Bảng 2.
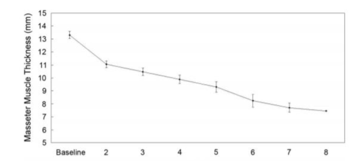
Thời gian giữa lần tiêm thứ 2 và lần tiêm đầu là 19.45 ± 11.90 tháng và độ dày trung bình của cơ cắn phải, trái là 11.07mm. Thời gian giữa hai lần tiêm cuối cùng ở mỗi khách hàng là 52.03 tháng và độ dày trung bình của cơ cắn phải/trái ở lần tiêm cuối là 9.94 mm. Càng về các lần tiêm sau thì độ dày cơ trung bình ở mỗi lần lại càng giảm (từ lần tiêm đầu tiên đến lần tiêm thứ 8) (Hình 3) và càng về sau thì khoảng thời gian giữa hai lần tiêm cũng ngắn lại (Hình 4). Lý do của điều này là bởi việc tiêm botulinum toxin không nhằm mục đích điều trị y tế mà nhằm mục đích thẩm mỹ và mỗi lần tiêm lại không được lên kế hoạch trước.
Bảng 2. Đặc điểm của các khách hàng vào mỗi lần tiêm lại
|
|
|
Độ dày của cơ cắn (mm) |
||
|
Số đo |
Độ bền (tháng) |
Cơ cắn trái |
Cơ cắn phải |
(Trái + Phải)/2 |
|
Trước tiêm (n = 121) |
|
|
|
|
|
Trung bình |
|
13.46 |
13.19 |
13.32 |
|
Độ lệch chuẩn (SD) |
|
1.84 |
1.60 |
1.60 |
|
Trung vị |
|
13.30 |
13.00 |
13.35 |
|
Khoảng số liệu cụ thể |
|
9.40 - 20.00 |
9.90 - 18.30 |
9.65 - 18.50 |
|
Lần 2 (n = 121) |
|
|
|
|
|
Trung bình |
19.45 |
11.06 |
11.07 |
11.07 |
|
Độ lệch chuẩn (SD) |
11.90 |
1.55 |
1.52 |
1.51 |
|
Trung vị |
18.30 |
11.10 |
11.20 |
11.20 |
|
Khoảng số liệu cụ thể |
3.47 - 61.93 |
7.50 - 16.20 |
7.10 - 16.10 |
7.30 - 16.15 |
|
Lần 3 (n = 115) |
|
|
|
|
|
Trung bình |
33.41 |
10.54 |
10.39 |
10.47 |
|
Độ lệch chuẩn (SD) |
13.26 |
1.61 |
1.63 |
1.59 |
|
Trung vị |
31.00 |
10.50 |
10.30 |
10.45 |
|
Khoảng số liệu cụ thể |
10.80 - 69.03 |
5.90 - 15.80 |
6.10 - 16.20 |
6.00 - 16.00 |
|
Lần 4 (n = 86) |
|
|
|
|
|
Trung bình |
43.43 |
9.97 |
9.82 |
9.90 |
|
Độ lệch chuẩn (SD) |
11.02 |
1.49 |
1.56 |
1.50 |
|
Trung vị |
42.07 |
10.05 |
10.00 |
10.03 |
|
Khoảng số liệu cụ thể |
18.57 - 65.80 |
6.10 - 13.90 |
6.00 - 13.80 |
6.05 - 13.85 |
|
Lần 5 (n = 46) |
|
|
|
|
|
Trung bình |
50.00 |
9.34 |
9.25 |
9.30 |
|
Độ lệch chuẩn (SD) |
9.25 |
1.38 |
1.47 |
1.38 |
|
Trung vị |
51.23 |
9.05 |
8.90 |
9.03 |
|
Khoảng số liệu cụ thể |
27.50 - 66.30 |
6.20 - 11.90 |
5.40 - 12.80 |
5.80 - 11.90 |
|
Lần 6 (n = 23) |
|
|
|
|
|
Trung bình |
53.81 |
8.23 |
8.24 |
8.23 |
|
Độ lệch chuẩn (SD) |
8.28 |
1.17 |
1.26 |
1.20 |
|
Trung vị |
55.00 |
8.10 |
8.20 |
8.25 |
|
Khoảng số liệu cụ thể |
30.50 - 65.83 |
5.80 - 10.70 |
5.10 - 11.60 |
5.45 - 11.15 |
|
Lần 7 (n = 8) |
|
|
|
|
|
Trung bình |
58.99 |
7.81 |
7.61 |
7.71 |
|
Độ lệch chuẩn (SD) |
6.40 |
0.50 |
0.54 |
0.51 |
|
Trung vị |
61.53 |
7.80 |
7.65 |
7.73 |
|
Khoảng số liệu cụ thể |
50.10 - 66.33 |
6.90 - 8.50 |
6.50 - 8.20 |
6.70 - 8.20 |
|
Lần 8 (n = 1) |
|
|
|
|
|
Trung bình |
55.50 |
7.40 |
7.50 |
7.45 |
|
Độ lệch chuẩn (SD) |
— |
— |
— |
— |
|
Trung vị |
55.50 |
7.40 |
7.50 |
7.45 |
|
Khoảng số liệu cụ thể |
— |
— |
— |
— |
|
Lần cuối (n = 121) |
|
|
|
|
|
Trung bình |
52.03 |
10.03 |
9.85 |
9.94 |
|
Độ lệch chuẩn (SD) |
10.53 |
1.74 |
1.74 |
1.71 |
|
Trung vị |
53.27 |
10.10 |
9.80 |
10.05 |
|
Khoảng số liệu cụ thể |
7.30 - 69.03 |
6.70 - 14.00 |
6.50 - 14.30 |
6.60 - 14.15 |
Bài viết nghiên cứu có thể bạn quan tâm
Tin liên quan
Hỏi đáp có thể bạn quan tâm



