Định lượng acid amin máu và dịch sinh học bằng máy sắc ký lỏng siêu hiệu năng (UPLC) - Bộ y tế 2018
I. NGUYÊN LÝ
- Mẫu thử được khử protein bằng dung dịch acid sulfosalicylic (SSA) chứa nội chuẩn norvaline (Nva). Phương pháp phân tích acid amin bao gồm các giai đoạn sau:
- Kiềm hoá mẫu chuẩn, mẫu thử, mẫu trắng (blank) đã được khử tạp bởi SSA bằng dung dịch NaOH/ borat.
- Phản ứng tạo dẫn xuất:
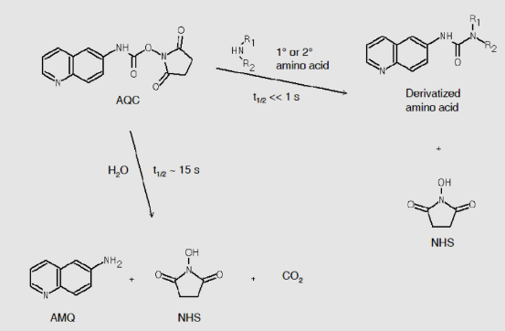
- Dẫn xuất hoá các acid amin trong mẫu thử bằng AQC (6-aminoquinolyl-N-hydroxysuccinimidyl carbamate) để chuyển các acid amin bậc một và bậc hai thành các chất có thể phát hiện được bằng đầu dò cực tím (UV).
- Phản ứng tạo dẫn xuất hoàn toàn đòi hỏi một lượng dư số mol AQC. Lượng dư này sẽ bị thủy phân thành sản phẩm phụ là 6-aminoquinoline (AMQ), N-hydroxysuccinimide (NSH) và CO2, những sản phẩm phụ này không gây cản trở cho quá trình phân tích. Riêng AMQ sẽ tạo ra một peak có ý nghĩa và dễ dàng nhận biết được. Phản ứng thủy phân này xảy ra chậm hơn so với phản ứng tạo dẫn xuất.
- Lưu ý: Creatinin không được dẫn xuất bởi thuốc thử AMQ nên sẽ không xuất hiện peak sắc ký đối với creatinin. Riêng urê sẽ được dẫn xuất kép (do cấu tạo phân tử đặc biệt) để tạo nên dẫn xuất urê đối xứng. Peak của urê sẽ được đánh dấu bằng chữ “Derivation Peak” trên sắc ký đồ.
- Phân tách các dẫn xuất AQC của acid amin bằng phương pháp UPLC, định lượng bằng đầu dò TUV.

* Phản ứng tạo dẫn xuất
- Hệ thống UPLC ứng dụng trong phân tích acid amin có đặc điểm: sử dụng áp suất cao chạy trên các cột phân tích có kích thước tiểu phần 1,7μm, đường kính cột 2,1mm, chiều dài cột 150mm. Hệ thống cho phép phát hiện và định lượng 42 loại acid amin phổ biến và các hợp chất có liên quan với tốc độ 45 phút/ mẫu. Thời gian phân tích được rút ngắn trong khi độ nhạy, độ đặc hiệu và hiệu năng phân tách được cải thiện là ưu điểm của hệ thống UPLC so với các phương pháp khác.
II. CHUẨN BỊ
1. Người thực hiện
- Người thực hiện kỹ thuật có trình độ phù hợp
2. Phương tiện, hóa chất
2.1. Phương tiện:
- ACQUITY UPLC System: Hệ thống bao gồm:
- Hệ thống bơm cao áp và quản lý dung môi
- Bộ quản lý dung môi bốn dòng dung môi
- Bộ quản lý mẫu với Flow Through Needle
- Bộ ổn nhiệt cho cột với bộ tiền làm nóng linh hoạt
- Khay chứa dung môi
- Bộ kít hoạt động cho máy
- Các sensors phát hiện rò rỉ
- Detector
- Phần mềm điều khiển, máy tính, máy in
- Bộ phụ kiện cho chuẩn bị mẫu

Hình: Sơ đồ hệ thống UPLC
- Máy li tâm thường và ly tâm tốc độ cao.
- Máy lắc.
- Tủ ấm.
- Máy rửa dụng cụ bằng sóng siêu âm.
- Bộ lọc dung môi.
- Cột sắc ký: cột phân tích có kích thước tiểu phần 1,7μm, đường kính cột 2,1mm, chiều dài cột 150mm.
- Giấy lọc với kích thước lọc 0,2 μm.
2.2. Hóa chất: tất cả các dung dịch và hóa chất sử dụng cho hệ thống đều phải là chuẩn HPLC hoặc tốt hơn.
- Acetonitrile đậm đặc.
- Nước cất
- Methanol đậm đặc
- Acid fomic đậm đặc
- MasTrak AAA standards (bộ kít chuẩn): gồm có
- Các amino acid tan trong acid.
- Các amino acid tan trong base.
- allo-Isoleucine
- Glutamine
- Norvaline
- Tryptophan
- MasTrak AAA eluent A: thành phần 8-10% acetonitrile, 4-6% formic acid, 84-88% ammonium acetate/water solution.
- MasTrak AAA derivatization kit: bộ kít tạo dẫn xuất gồm có
- Borate buffer: <5% sodium tetraborate and >95% water
- Reagent powder (2A): 6-aminoquinolyl-N-hydroxy-succinimidyl carbamate (AQC)
- Reagent diluents (2B): acetonitrile
3.Người bệnh
- Cần giải thích cho người bệnh và người nhà người bệnh hiểu về mục đích của việc lấy máu làm xét nghiệm.
4. Phiếu xét nghiệm
- Phiếu xét nghiệm theo đúng quy định của Bộ Y tế và bệnh viện.
- Trên phiếu xét nghiệm cần ghi đầy đủ thông tin của người bệnh: họ và tên, tuổi, giới tính, số giường, khoa phòng, chẩn đoán, xét nghiệm cần làm.
- Trên phiếu xét nghiệm cần có: chữ ký và họ tên bác sĩ chỉ định xét nghiệm, họ tên người lấy mẫu, thời gian chỉ định xét nghiệm và thời gian lấy mẫu bệnh phẩm.
III. CÁC BƯỚC TIẾN HÀNH
1. Lấy bệnh phẩm
Huyết tương, nước tiểu và dịch não tủy là mẫu bệnh phẩm sử dụng cho xét nghiệm này.
- Thu thập, xử lý và bảo quản mẫu máu:Máu toàn phần tĩnh mạch được thu thập vào ống chống đông bằng heparin với thể tích tối thiểu là 1 mL, tối đa là 2 mL. Sau khi thu thập, mẫu được vận chuyển ngay tới phòng xét nghiệm. Tiến hành ly tâm ngay sau khi nhận mẫu với tốc độ 3000 vòng/phút trong 5 phút, tách huyết tương và bảo quản ở -20oC cho đến khi phân tích. Bệnh phẩm chỉ tan đông 1 lần và phải để bệnh phẩm đạt nhiệt độ phòng trước khi phân tích. Trộn kỹ bệnh phẩm sau khi rã đông.
- Thu thập, xử lý và bảo quản nước tiểu: Nước tiểu ngẫu nhiên được thu thập vào các ống đựng bệnh phẩm sạch, không có chất bảo quản. Thể tích tối thiểu là 2 mL. Vận chuyển ngay tới phòng xét nghiệm, ly tâm với tốc độ 3000 vòng/phút trong 5 phút, chắt dịch trong và bảo quản ở -20oC cho đến khi phân tích. Một phần nước tiểu được sử dụng để định lượng
- Thu thập, xử lý và bảo quản dịch não tủy: Dịch não tủy được thu thập vào các ống đựng bệnh phẩm sạch, không có chất bảo quản. Thể tích tối thiểu là 0,5 ml. Vận chuyển ngay tới phòng xét nghiệm, ly tâm với tốc độ 3000 vòng/phút trong 5 phút, chắt dịch trong và bảo quản ở -20oC cho đến khi phân tích.
- Mẫu huyết tương/ nước tiểu từ ngoài bệnh viện cần phải bảo quản đông lạnh.
2. Tiến hành kỹ thuật
- Máy phân tích cần chuẩn bị sẵn sàng để thực hiện phân tích mẫu: máy đã được cài đặt chương trình xét nghiệm định lượng IgE đặc hiệu Alpha-lactalbumin máu. Máy đã được chuẩn với xét nghiệm IgE đặc hiệu Alpha-lactalbumin. Kết quả kiểm tra chất lượng với xét nghiệm IgE đặc hiệu Alpha-lactalbumin đạt yêu cầu, không nằm ngoài dải cho phép và không vi phạm luật kiểm tra chất lượng.
- Người thực hiện phân tích mẫu nhập dữ liệu về thông tin người bệnh và chỉ định xét nghiệm vào máy phân tích hoặc hệ thống mạng (nếu có)
- Thực hiện xét nghiệm theo protocol của máy.
IV. NHẬN ĐỊNH KẾT QUẢ
Khoảng tham chiếu
Bảng 1. Khoảng tham chiếu của acid amin huyết tương (đơn vị: umol/L):

Bảng 2. Khoảng tham chiếu của các acid amin niệu (đơn vị: umol/mmol creatinine)
(tham khảo bảng 1 các acid amin không thông báo kết quả)

Bảng 3. Khoảng tham chiếu của acid amin dịch não tuỷ
(Đơn vị: umol/L.)

- Tỷ số glycine DNT/ huyết tương ở trẻ sơ sinh:
- Tỷ số glycine DNT/ huyết tương: 0.012 - 0.040
- Có rất nhiều bệnh chuyển hoá di truyền gây bất thường acid amin trong huyết tương và / hoặc nước tiểu, như bệnh cystin niệu (cystinuria), bệnh siro niệu (maple syrup urine disease), bệnh lý chu trình ure (urea cycle defects), tăng glycin máu không nhiễm keton (nonketotic hyperglycinemia), homocystin niệu và phenylceton niệu (phenylketonuria). Một số bệnh lý acid amin lành tính, tuy nhiên số khác lại gây ra các vấn đề sức khoẻ trầm trọng. Nếu phát hiện sớm và điều trị thích hợp, có thể cứu sống được người bệnh và các biến chứng có thể ngăn ngừa hoặc kiểm soát được.
- Rất nhiều bệnh di truyền gây thiếu hụt các enzyme ảnh hưởng đến quá trình dị hoá acid amin, làm tăng một hoặc nhiều acid amin trong huyết tương. Khi nồng độ acid amin huyết tương tăng cao, có thể xuất hiện acid amin niệu (aminoaciduria).
- Một số bệnh di truyền ảnh hưởng đến cơ chế tái hấp thu acid amin ở thận, gây amino acid niệu trong khi nồng độ các acid amin này trong huyết tương bình thường hoặc thấp. Nhiều yếu tố ảnh hưởng đến nồng độ các acid amin trong huyết tương và/ hoặc trong nước tiểu, như nhịp ngày đêm, thức ăn/ dinh dưỡng ngoài đường tiêu hoá, trẻ đẻ non, bệnh gan hoặc thận, tác động của thuốc/ chất độc, và các tạp chất có trong mẫu do thu thập mẫu không đúng hay do quá trình khử protein. Bảng sau liệt kê danh sách theo trình tự alphabe của các acid amin về các bất thường có thể gặp.












V. NHỮNG YẾU TỐ ẢNH HƯỞNG VÀ HƯỚNG XỬ TRÍ
Một số yếu tố nhiễu trình bày ở bảng trên. Có thể tóm tắt lại dưới đây:
1. Phân huỷ tự phát
- Glutamine và asparagine không ổn định và thoái hoá từ từ tương ứng thành glutamic acid và aspartic acid.
- Phosphoethanolamine thoái hoá thành ethanolamine (và phosphate).
2. Huyết tán hoặc huyết tương nhiễm tế bào máu
- Giảm arginine và tăng ornithine.
- Tăng aspartic acid, glutamic acid và glycine.
- Tăng taurine do leukocytes và tiểu cầu.
3. Nhiễm khuẩn
- Chuyển glutamine và asparagine thành glutamic acid và aspartic acid.
- Trong nước tiểu, giảm glycine, alanine và nhiều acid amin khác có thể xảy ra do nhiễm khuẩn, nhưng glycine có thể tăng do phân huỷ hippuric acid bởi vi khuẩn.
- Cystathionine có thể chuyển thành homocystine.
4. Nước tiểu nhiễm phân
- Tăng rất cao glutamic acid và acid amin mạch nhánh (branched-chain amino acids).
5. Chậm khử protein
- Giảm các acid amin chứa disulfide, chủ yếu cystine và homocystine. Các acid amin này thực hiện phản ứng trao đổi với các phân tử protein chứa nhóm sulfhydryl, dần dần gắn protein.
6. Ví dụ các yếu tố nhiễu trong thực phẩm và thuốc:
- glycine và alanine cao khi dùng valproate.
- beta-alanine (cả GABA và beta-aminoisobutyric acid) cao khi dùnggamma-vinyl-GABA (vigabatrinTM).
- Tăng acid amin máu/ nước tiểu trong ăn nhiều, đặc biệt khi chế độ ăn nhiều protein
- Tăng bài tiết beta-alanine và 1-methylhistidine (cả carnosine và anserine) do ăn thịt, đặc biệt là thịt gia cầm.
- Tăng bài tiết taurine sau ăn tôm cua sò.
- Homocitrulline thường thấy trong nước tiểu trẻ em ăn sữa công thức
Hướng dẫn quy trình kỹ thuật chuyên ngành Hóa sinh - Bộ y tế 2018
Hướng dẫn quy trình kỹ thuật chuyên ngành Huyết học - Truyền máu - Miễn dịch - Dị ứng - Sinh học phân tử - Bộ y tế 2017
Hướng dẫn quy trình kỹ thuật Huyết học - Truyền máu -
Miễn Dịch - Di truyền - Sinh học phân tử
Hướng dẫn quy trình kỹ thuật chuyên ngành Hóa sinh - Bộ y tế 2018
Hướng dẫn quy trình kỹ thuật chuyên ngành Hóa sinh - Bộ y tế 2018
So sánh hai loại máy đo huyết áp và cách sử dụng từng loại máy
Bệnh thận đa nang di truyền theo gen trội trên nhiễm sắc thể thường (autosomal dominant polycystic kidney disease - ADPKD) là một bệnh lý mạn tính có đặc trưng là nhiều u nang hình thành trong thận. Đây là bệnh thận di truyền phổ biến nhất.
Bệnh thận đa nang là tình trạng có nhiều u nang (khối chứa dịch) hình thành trên thận, khiến thận to lên. Đây là một bệnh lý di truyền. Bệnh thận đa nang di truyền theo gen trội trên nhiễm sắc thể thường (autosomal dominant polycystic kidney disease - ADPKD) là dạng bệnh thận đa nang phổ biến nhất.
Khi được sử dụng làm thực phẩm, dầu dừa đem lại nhiều lợi ích cho sức khỏe, chẳng hạn như cung cấp năng lượng, thúc đẩy giảm mỡ, tăng cholesterol tốt và kiểm soát đường huyết. Và khi được sử dụng tại chỗ, dầu dừa cũng có nhiều tác dụng đối với da, tóc và cả lông mày.
Máy khử rung tim và máy tạo nhịp tim là hai loại thiết bị tim cấy ghép. Cả hai thiết bị đều được sử dụng để hỗ trợ điều trị rối loạn nhịp tim - tình trạng tim đập quá nhanh, quá chậm hoặc không đều.
- 1 trả lời
- 2185 lượt xem
Em đi khám, bs kết luận là thai khoảng 34 tuần, đường kính lưỡng đỉnh và cân nặng 2.220g của bé nhỏ hơn tuổi thai. Có thể là tuổi thai của em tính chưa chính xác. Nhưng nếu như vậy, có phải là thai nhi phát triển không bằng tuổi thai thật và bé bị thiếu dưỡng chất phải không ạ?
- 1 trả lời
- 2159 lượt xem
Mang thai lần đầu, được 21 tuần 5 ngày, vợ em đi khám được bs chẩn đoán thiếu máu hồng cầu nhỏ nhược sắc, với chỉ số như sau: số lượng hồng cầu 4.96 (M:4.2-5.4/F:4.0-4.9 T/L), huyết sắc tố 111 (M:130-160/F:125-142 g/L), MCV: 71.5 (85-95), MCH: 22.4 (28-32), MCHC: 314 (320-360). Bs giới thiệu vợ em sang chuyên khoa huyết học khám lại. Nhưng cho em hỏi: các chỉ số trên có đáng lo ngại lắm không, em bé có nhận được đủ chất dinh dưỡng từ mẹ không ạ? Do dịch covid, em chưa thể đưa vợ đi xét nghiệm lại được ngay, thì có sao không ạ?
- 1 trả lời
- 2254 lượt xem
Vợ em hiện đang mang thai được 8 tuần và được kê đơn thuốc eagaliz để bổ sung vitamin, với liều lượng uống là 2 viên/ngày. Tuy nhiên, lại có thông tin cho rằng không nên bổ liều lượng acid folic cao hơn 1000 mcg/ngày, trong khi, nếu vợ em uống 2 viên/ngày thì lượng acid folic nạp vào cơ thể sẽ lên tới 1600 mcg. Như vậy, vợ em có nên giảm liều lượng uống xuống còn 1 viên/ngày không? Liệu nếu nạp 1600 mcg acid folic vào cơ thể thì có gây hại gì không?
- 1 trả lời
- 1292 lượt xem
Năm nay em 25 tuổi, hiện mang thai được 5 tuần. Em bị hội chứng đa nang buồng trứng 2 bên, đi khám bs kê thuốc đặt utrogestan, vitaminE. Riêng prencare fort và hinewhemo thì mỗi thứ uống 1v vào lúc 12h trưa - Em đọc thấy hàm lượng acid folic trong 2 loại thuốc bổ này là quá cao so với lượng acid folic mẹ bầu cần bổ sung. Vậy, nếu uống theo đơn trên thì lượng acid folic nhiều như thế có ảnh hưởng gì đến thai nhi không ạ?
- 1 trả lời
- 1376 lượt xem
Cho em hỏi siêu âm bé 29 tuần; Đường kính lưỡng đỉnh (ĐKLĐ): 73,5 mm; Chiều dài xương đùi 57,6 mm; Chu vi vòng bụng 243 mm. Bác sĩ cho em hỏi: theo chỉ số này thì vòng đầu của bé có nhỏ hơn bình thường không ạ?



